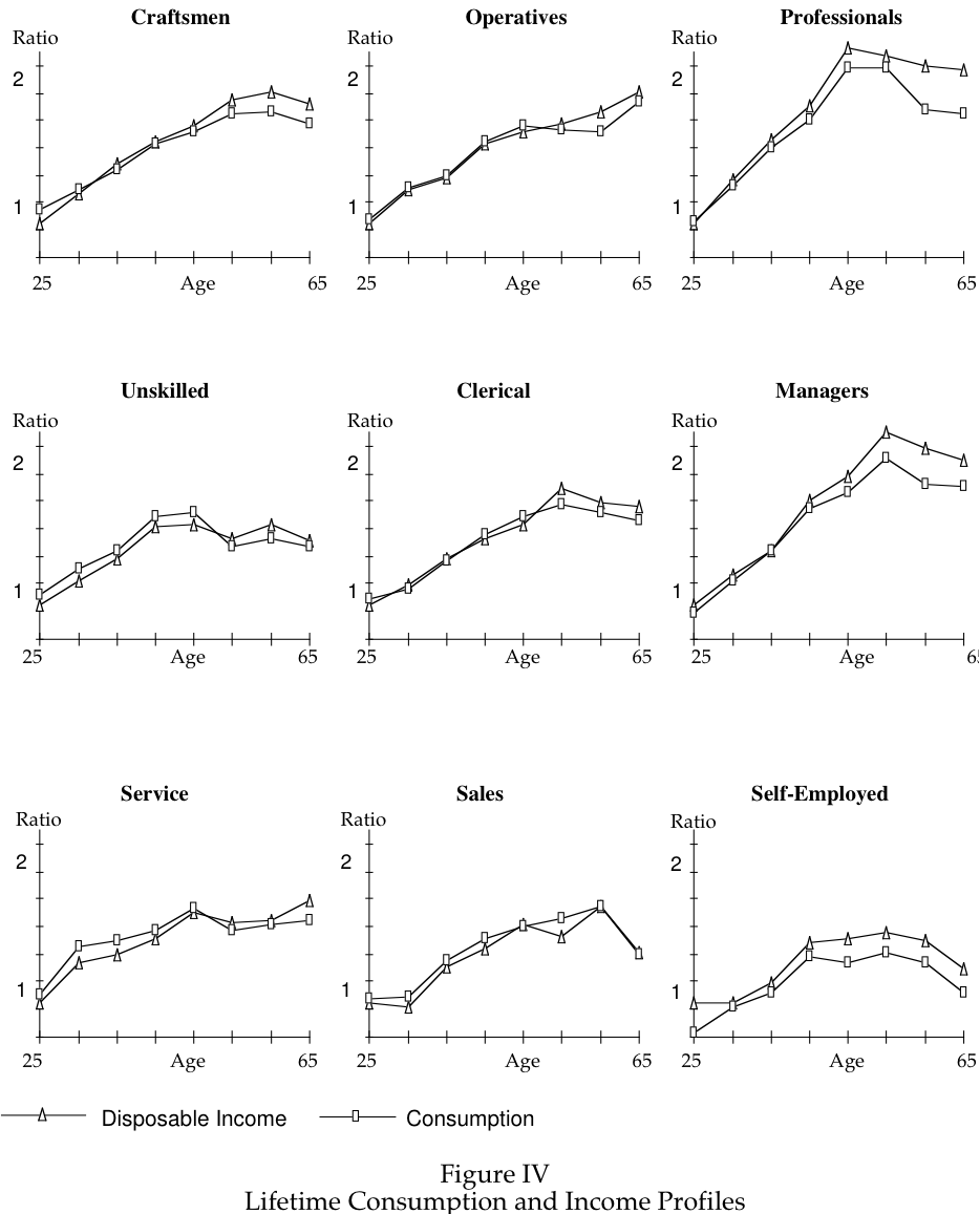
This section reproduces figures from Carroll (1997) showing the profiles of income and consumption by age across different occupation groups from the 1960-61 Consumer Expenditure Survey. The unconstrained perfect foresight/certainty equivalent life cycle model implies that there should be no relationship between the pattern of the consumption profile and the income profile, since the shape of the consumption profile is determined by tastes independently of the shape of the income profile.
In practice, there seems to be a strong connection between the income and consumption profiles. The second set of figures shows the implications of a “buffer stock” model of optimizing life cycle behavior in which consumers are modestly impatient, have a standard CRRA utility function with a precautionary saving motive, and face uncertain income. Consumers in this model optimally engage in buffer stock saving behavior until 10-15 years before retirement, as a result of their combination of impatience and prudence. This model is thus capable of matching the broad pattern of the data.

Figure 1:Age Profiles of Income and Consumption in Data

Figure 2:Age Profiles of Income and Consumption in Theory (Buffer Stock Model)
- Carroll, C. D. (1997). Buffer Stock Saving and the Life Cycle/Permanent Income Hypothesis. Quarterly Journal of Economics, 112(1), 1–56. 10.1162/003355397555109